Bronx Community Board 1
311
Search all NYC.gov websites
Menu
Text-Size
Search
Search
Search
Events and Notices
Share
Print
Events and Notices
Special Meeting - Lincoln Hospital's auditorium on Thursday, January 19th at 6pm.
Martin Luther King Jr. Celebration
NYCEM Weather Alert, November 30th, 2022
No Trash, Curbside Composting, or Recycling Collection on Thanksgiving Day, Thursday, November 24, 2022
Free Turkey Give-A-Way
Planned Service Changes 4 Train
NAICA Job Fair at November 10th, 2022
DSNY Service Holiday October 10th
NAICA Job Fair at October 7th, 2022
Aspira and NAICA Job Fair at October 6th, 2022
Bronx Community Board One of the City of New York
NYC's African Heritage Celebration
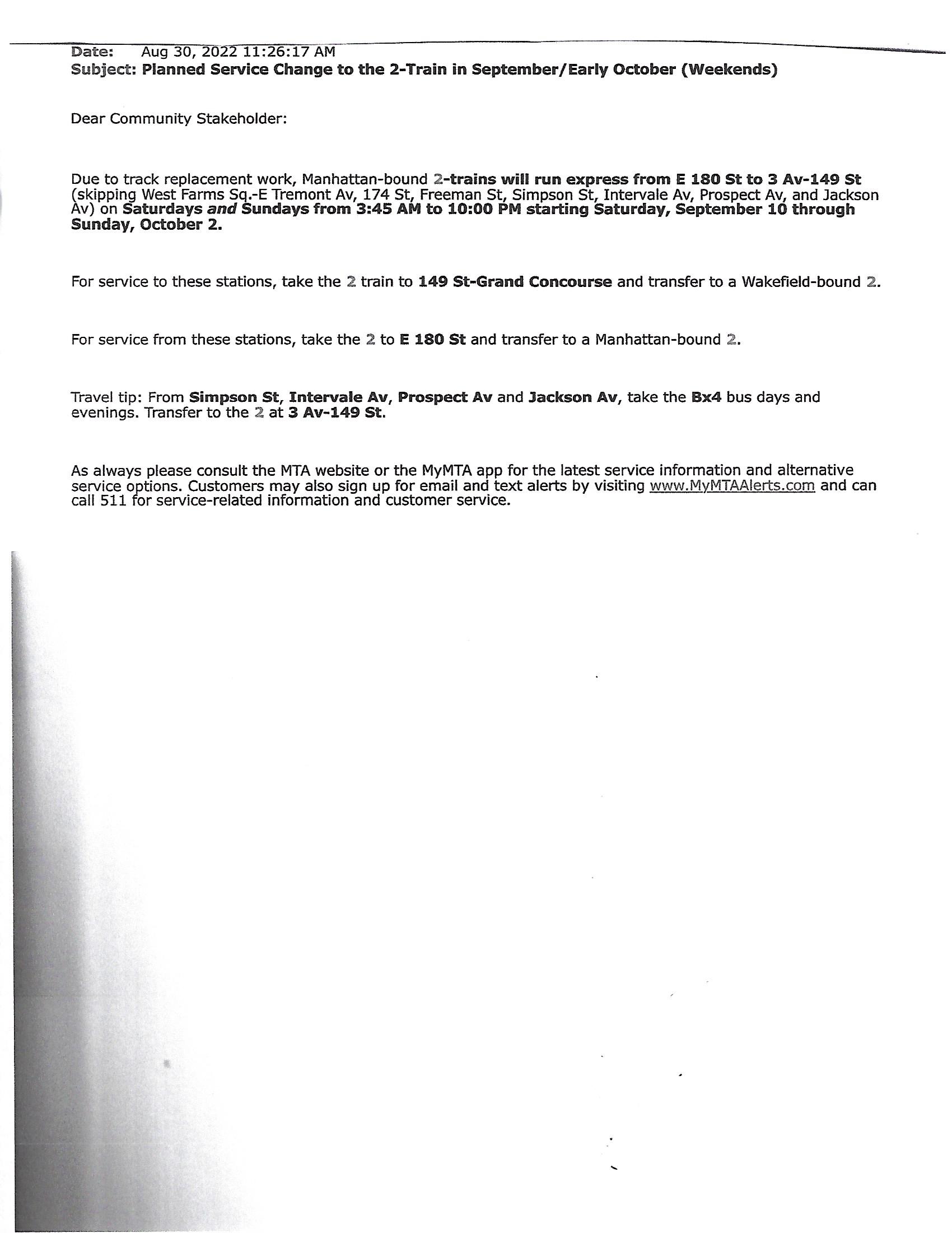
MTA Planned Service Change September 2 Train
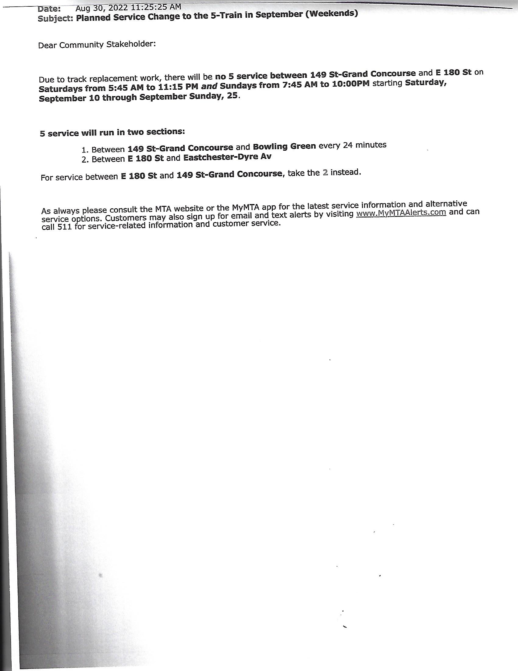
MTA Planned Service Change September 5 Train
Men Supporting Men (September 24, 2022)
Jackson Resident Association Back-to-School Event (September 2022)
Planned Service Change for the 5 Train (September 3, 2022 - September 4, 2022)
New Partnership with VIP Community Services (July 21, 2022)
Planned Service Change for the 2 Train (July 25, 2022 - July 29, 2022)
Planned Service Change for the 5 Train (July 25, 2022 - July 28, 2022)
Heat Advisory 7/19/22
South Bronx Food Distribution Event
McDonald's Grand Re-Opening - 85 Bruckner Blvd.
Dept. of Sanitation Announcement - Juneteenth
The Mammogram Bus - English
The Mammogram Bus - Spanish
District Manager Job Announcement
Bronx Borough President Vanessa L. Gibson Inauguration
Resource Fair and Suit Giveaway
Resources for Eviction Prevention and Housing Stability
40th Precinct Community Council Meeting
Women's History Month
South Bronx Unite Press Conference
Notice to Join Local Community Board - English
Notice to Join Local Community Board - Spanish
40th Police Precinct Community Council Meeting
Melrose Free Stop and Swap Press Release
BXWorks Stop and Swap Flyer English and Spanish
DDC, MOCJ and DOC Borough Based Facility English
DDC, MOCJ and DOC Borough Based Facility Spanish
Bronx Fathers Virtual Conversation Series
NAICA Employment Flyer
PSA 7 Community Council Meeting
Bronx Fire Relief Drive
Three Kings Day Flyer
New Life Kids Toy Store
49th Precinct Annual Winter Wonderland
Winn Companies Job Fair
MTA Career Fair
Department for the Aging - Employment Program
Department of Sanitation - Curb site Composting Notice
The Hope Program
Cayuga Centers Holiday Toy Drive
HEArts Holiday Festival
Christ Church Free Community Meal
Become An MTA Police Officer
40th Precinct Council Meeting
Yankees Food Voucher Giveaway
TCS New York City Marathon
SBA Disaster Loan - English
SBA Disaster Loan - Spanish
The Bronx People's Festival - English
The Bronx People's Festival - Spanish
Con Edison Smell Gas - Act Fast
Dream Mott Haven Fall Fest
Diva Talk 2021
Behind in Rent Apply to ERAP
Youth Action Youth Build
Cayuga Centers We're Hiring - English
Cayuga Centers Now Hiring - English
Cayuga Centers We're Hiring - Spanish
Cayuga Centers Now Hiring - Spanish
NYCEM Travel Advisory - 1
NYCEM Travel Advisory - 2
NYCEM Travel Advisory - 3
NYCDOT Division of Bridges Willis Avenue Bridge
Sanitation Columbus Day Service - 1
Sanitation Columbus Day Service - 2
Annual 5K Run/Walk/Roll To End Domestic Violence 1 - English
Annual 5K Run/Walk/Roll To End Domestic Violence 2 - English
Annual 5K Run/Walk/Roll To End Domestic Violence 1 - Spanish
Annual 5K Run/Walk/Roll To End Domestic Violence 2 - Spanish
NYPD Police Officer Exam
Get Your Flu Shot - English
Get Your Flu Shot - Spanish
The Salvation Army Bronx Citadel Child Care Center - English
The Salvation Army Bronx Citadel Child Care Center - Spanish
Apartments 880 East 147th St. - 1
Apartments 880 East 147th St. - 2
Apartments 880 East 147th St. - 3
Apartments 880 East 147th St. - 4
Apartments 880 East 147th St. - 5
Apartments 880 East 147th St. - 6
Apartments 880 East 147th St. - 7
Bronx Veterans Affairs Job Fair
Bus Operators Job Posting
DOB Tenants Rights Webinar
Nos Quedamos Hiring Youth Change Agents
Principal Court Analyst Position
Backpack Giveaway
September 11th Memorial Service (Day of Remembrance)
IDA Storm Assistance
NYCEM Press Release
Post-Storm Service Centers Open Citywide
NYS Eligibility, Benefits and How to Apply - English
NYS Eligibility, Benefits and How to Apply - Spanish
Health & Literacy Back to School Event Postponed
Back to School Family Forums
Back to School Giveaway
Back to School Giveaway Spanish
World of Life International
World of Life International Spanish
Back to School Event
Open House
Eviction Protection Declaration English - 1
Eviction Protection Declaration English - 2
Eviction Protection Declaration Spanish- 1
Eviction Protection Declaration Spanish- 2
We Love the Bronx Flyer
Health & Literacy Back to SchoolEvent - English
Health & Literacy Back to SchoolEvent - Spanish
Water Shut Off Notice 1
Water Shut Off Notice 2
International Youth Day
NYPD School Safety Agent
Neighborhood SHOPP
Neighborhood SHOPP Spanish
Five Boro Bike Tour
Get $100 or Other Exclusive Rewards with your free COVID-19 Vaccine
NYC Department of Design and Construction (DDC) Mentoring Program Page 1
NYC Department of Design and Construction (DDC) Mentoring Program Page 2
NYS Independent Redistricting Commission Page 1
NYS Independent Redistricting Commission Page 2
Building Skills NY
Health Bucks Page 1
Health Bucks Page 2
Health Bucks Page 3
Health Bucks Page 4
Health Bucks Page 5
Full Roadway Closure Notice
Borough President Diaz Allocates over 35M in Funding
Curbside Composting
Con Edison Press Release Energy Conservation Page 1
Con Edison Press Release Energy Conservation Page 2
Pillars OSHA 30 and SST Flyer
NYC Children Provider Bulletin
Know Your Rights Immigration Spanish
Know Your Rights Immigration English
NYS Rental Assistance Program - English
NYS Rental Assistance Program - Spanish
NYC DEP Spray Cap Poster - English
NYC DEP Spray Cap Poster - Spanish
Lincoln Hospital Green Market
NYC Elder Abuse Center-Weill Cornell Medicine
Temporary Closure of Bruckner Boulevard Service Road
SummerJamZ Community Job Fair
New York City Gun Buy Back Program
Accessing Religious Tax Exemption in New York City
YMCA Northeast Bronx Career Opportunities
YMCA Now Hiring Life Guards
YMCA of Greater New York Careers
2021 Bronx BP and Allies LGBT Pride Celebration
Job Opportunities at Great Performances
New York State Emergency Rental Assistance Program
City Clean-Up Corps
1 Bronx Festival Pride
Voterfest
(
Spanish
)